Służebność mieszkania to jeden z rodzajów służebności osobistej przysługującej konkretnej osobie. Informacje na temat służebności znajdują się w kodeksie cywilnym (art. 296 – art. 305).
Ustanowienie służebności osobistej mieszkania
Odbywa się poprzez zawarcie umowy między właścicielem nieruchomości a osobą, wobec której zrzeka się on części praw do swojej własności – czyli przyszłego służebnika. Umowa ta ma najczęściej formę aktu notarialnego. Służebność może być również ustanowiona przez sąd oraz na podstawie decyzji administracyjnej. Ponadto służebność zawsze jest wpisywana do działu III księgi wieczystej.
Okres obowiązywania służebności osobistej
Najczęściej spotykaną służebnością osobistą jest służebność dożywotniego mieszkania, choć może być również ustanowiona na czas określony np. 10 lat.
Przykład: rodzice darując własność mieszkania lub domu swoim dzieciom, mogą zastrzec sobie prawo do korzystania z konkretnych pokojów lub pięter bądź z całego budynku.
Prawa służebnika (osoby posiadającej prawo służebności osobistej)
Obowiązki służebnika:
Jak określić wartość służebności osobistej?
Określenia wartości służebności osobistej najczęściej dokonują rzeczoznawcy majątkowi i stanowi ona funkcję dwóch elementów:
Do oszacowania wartości służebności osobistej, najczęściej stosuje się podejście dochodowe, metodę inwestycyjną technikę dyskontowania strumieni dochodów, przy pominięciu wartości rezydualnej (RV=0).
Możemy rozróżnić dwa przypadki:

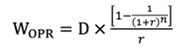
gdzie:
WOPR – wartość prawa służebności
D – stałe dochody roczne
n – okres trwania praw latach
r – stopa dyskontowa

WOPR – wartość prawa służebności
Di – zmienne dochody roczne
n – okres trwania praw latach
r – stopa dyskontowa
Czy na każdej nieruchomości można ustanowić służebność osobistą?
Służebność osobista nie może być ustanowiona na spółdzielczym własnościowym prawie do lokalu mieszkalnego.
Czy można sprzedać nieruchomość obciążoną służebnością osobistą?
Nieruchomość obciążona prawem służebności osobistej może być kupiona/sprzedana. Nie trzeba przy tym zgody służebnika. Nabywca takiej nieruchomości będzie musiał jednak zastosować się do praw jakie posiada służebnik.